Una serie de crisis mundiales en los últimos años ha impulsado un fuerte aumento de la actividad regulatoria en política energética, lo que ha intensificado la atención de los gobiernos en la seguridad, la resiliencia y la asequibilidad energética e impulsado un gasto público en energía mayor. En este contexto, el gasto público mundial en energía superó los 405.000 millones de dólares en 2025, según el informe ‘Estado de la Política Energética 2026’ de la Agencia Internacional de la Energía (IEA, por sus siglas en inglés). El estudio analiza más de 6.500 medidas en 84 países y recoge cambios en más de 200 ámbitos de política energética, entre ellos el gasto público, el acceso a la energía, la regulación del sector y los compromisos climáticos.

El informe ofrece un análisis exhaustivo de las políticas de seguridad energética para el período 1973-2025 a partir de datos del Centro Global de Políticas Energéticas.
El gasto público en energía supera los 405.000 millones de dólares
Según el informe, el gasto gubernamental en energía se ha más que duplicado desde 2019. A nivel mundial, el gasto público anual en energía superó los 405.000 millones de dólares en 2025. La mayor parte del gasto se ha destinado a inversiones en infraestructura energética, energías renovables y eficiencia energética.

El grueso del aumento se explica por las respuestas posteriores a la pandemia y a la crisis energética de 2022. Desde 2020, los gobiernos reservaron cerca de 2 billones de dólares para apoyar la transición energética limpia, y hasta 2025 ya se habían desembolsado 1,6 billones. La generación eléctrica y las redes captaron la mayor parte, con 135.000 millones de dólares en 2025, mientras que el gasto en edificios subió seis veces desde 2015 hasta 56.000 millones de dólares.
También crecieron con fuerza los incentivos al coche de bajas emisiones, que llegaron a 40.000 millones de dólares en 2025, y los programas industriales, que avanzaron de 11.000 millones en 2015 a 26.000 millones en 2025. Pero el documento subraya que parte de esta expansión empieza a moderarse: los cambios presupuestarios introducidos en 2025 redujeron en un 25% el gasto anual esperado entre 2025 y 2030 frente a lo que se proyectaba en 2024.

También señala que, de los cerca de 220.000 millones de dólares dedicados en 2022 al apoyo a consumidores, solo alrededor de una cuarta parte se dirigió a los hogares con mayor necesidad, lo que elevó la carga fiscal de esas intervenciones. Esa misma crisis favoreció además la adopción de nuevos mecanismos de respuesta de emergencia en gas natural: 30 países, responsables de más del 40% de las importaciones de gas natural, ampliaron sus exigencias de almacenamiento y reservas obligatorias.
La IEA señala asimismo un aumento de la atención gubernamental sobre riesgos emergentes, especialmente la concentración de las cadenas de suministro de minerales críticos y de tecnologías energéticas. Aproximadamente un tercio de las políticas sobre minerales críticos que sigue el organismo se han aprobado en los últimos cinco años, en parte como respuesta al incremento de los controles a la exportación sobre minerales clave para el sector energético.
Regulaciones sobre eficiencia energética
El informe indica que más de 130 países cuentan ya con normas mínimas de rendimiento energético o políticas de cambio de combustible, lo que refleja la amplia implantación global de la regulación en eficiencia energética. Estas medidas han contribuido a una mejora sostenida del uso de la energía desde el año 2000, con una reducción de alrededor del 30% en la intensidad energética global. Sin embargo, el ritmo de mejora se ha ralentizado en la última década, pasando de un crecimiento anual del 2,2% a principios de la década de 2010 a cerca del 1% en 2024.

Las normas de eficiencia energética han sido clave en este progreso, desde su introducción en la década de 1970 como respuesta a las crisis del petróleo. Hoy abarcan aproximadamente el 90% de la demanda mundial en refrigeración y el 80% en calefacción. No obstante, su expansión se ha estabilizado en los últimos años, y el foco de muchos países ha pasado hacia incentivos y ajustes regulatorios más que a nuevas ampliaciones.
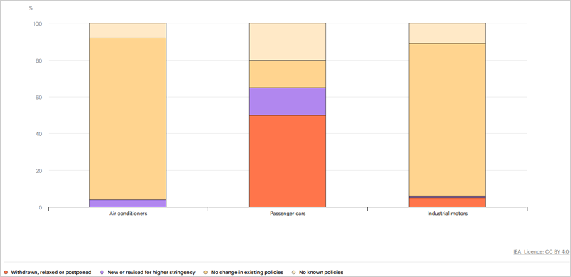
En 2025, la evolución de estas políticas mostró un patrón mixto. Mientras algunos países reforzaron sus estándares, otros los relajaron, retrasaron o directamente los retiraron. En conjunto, los cambios supusieron una reducción en la cobertura y rigurosidad de las normas, afectando a cerca del 30% de la demanda energética global cubierta por estos estándares, mientras que solo un 17% experimentó un aumento en su exigencia.
Las mayores flexibilizaciones se observaron en economías avanzadas, con ajustes en normas de eficiencia en transporte, electrodomésticos y calefacción. En contraste, algunas economías emergentes introdujeron o reforzaron estándares más estrictos, especialmente en el transporte por carretera, donde destacan nuevas regulaciones de consumo de combustible en China y actualizaciones en la Unión Europea.
El informe señala además que los cambios de 2025 podrían marcar un punto de inflexión en la tendencia global de endurecimiento progresivo de las normas, especialmente en el sector del transporte, donde algunas reformas han reducido las señales regulatorias a largo plazo. Aun así, el panorama global sigue mostrando una expansión general de la regulación, aunque con un ritmo más desigual entre regiones y sectores.
Objetivos climáticos y acceso a la energía
En cuanto a la evaluación climática, a 27 de marzo de 2026, más de 130 países habían presentado nuevas contribuciones determinadas a nivel nacional (NDC), pero 65 de las 194 partes del Acuerdo de París seguían sin entregar nuevos compromisos para 2035. Entre quienes sí actualizaron sus metas, más del 80% plantea ritmos de reducción de emisiones del sector energético similares o más lentos que los comprometidos anteriormente para 2030.
Según el informe, si se cumplieran todos los componentes energéticos de las NDC, las emisiones relacionadas con la energía caerían un 0,3% anual hasta 2035. La IEA compara esa trayectoria con su escenario de políticas declaradas, que proyecta una reducción anual del 0,8%. En las economías avanzadas, las nuevas NDC apuntan a un descenso del 5,5% anual hasta 2035, pero en muchos mercados emergentes y economías en desarrollo las emisiones del sector seguirían creciendo.

En acceso a la energía, desde la cumbre de la IEA sobre cocina limpia en África de 2024 se implementaron o anunciaron 56 nuevas políticas de acceso a la electricidad y 64 iniciativas sobre cocina limpia. El África subsahariana concentra la mayor parte de este movimiento: países que reúnen al 70% de la población africana sin electricidad y al 90% de quienes carecen de cocina limpia adoptaron nuevas políticas en el último año.
No obstante, el progreso sigue siendo vulnerable a las crisis. El informe destaca que, tras el cierre del estrecho de Ormuz, los precios de importación del gas licuado de petróleo subieron en promedio un 80% en marzo de 2026 en economías en desarrollo donde ese combustible se usa ampliamente para cocinar. Ese salto de precios llevó a muchos gobiernos a intervenir para contener costes, con presión adicional sobre presupuestos públicos y empresas energéticas locales.

Según el documento, el año pasado se produjo un cambio en la dinámica de las políticas de eficiencia energética y regulación del cambio de combustible. Si bien 15 países reforzaron los estándares de eficiencia, una ola generalizada de retrocesos y retrasos en la regulación, especialmente en el transporte por carretera, ralentizó el ritmo de las mejoras de eficiencia previstas. Aunque su objetivo era aliviar la carga administrativa a corto plazo, estos cambios podrían dejar a los hogares y las empresas más expuestos a las fluctuaciones de los precios de la energía en el futuro.
El informe subraya que la actual crisis podría desencadenar una nueva fase dinámica en la formulación de políticas, con similitudes a las respuestas observadas durante las crisis del petróleo de la década de 1970. A diferencia de la década de 1970, ahora existen las bases tecnológicas y políticas necesarias para lograr reducciones más rápidas y sustanciales del consumo de petróleo y gas. Los gobiernos también podrían impulsar la innovación energética en materia de combustibles alternativos y mayor eficiencia, revirtiendo la disminución del gasto en investigación y desarrollo energético desde 2023. La IEA seguirá monitorizando la situación a través del Centro Mundial de Políticas Energéticas, proporcionando actualizaciones periódicas sobre cómo los gobiernos están afrontando un panorama energético cada vez más complejo.